
Source: pandaily
For decades, new drug development has been constrained by the infamous "two-decade rule": a ten-year development cycle, a cost of $1 billion, and a success rate of less than 10% after a new therapy hits the market. A newly established generative science startup, IntelliGenAI, believes it can disrupt this model. Utilizing cutting-edge generative artificial intelligence technology in structural biology, IntelliGenAI aims to significantly accelerate drug development and improve success rates. The company recently completed an angel funding round reportedly worth tens of millions of dollars to advance its technology and is actively preparing for expansion.
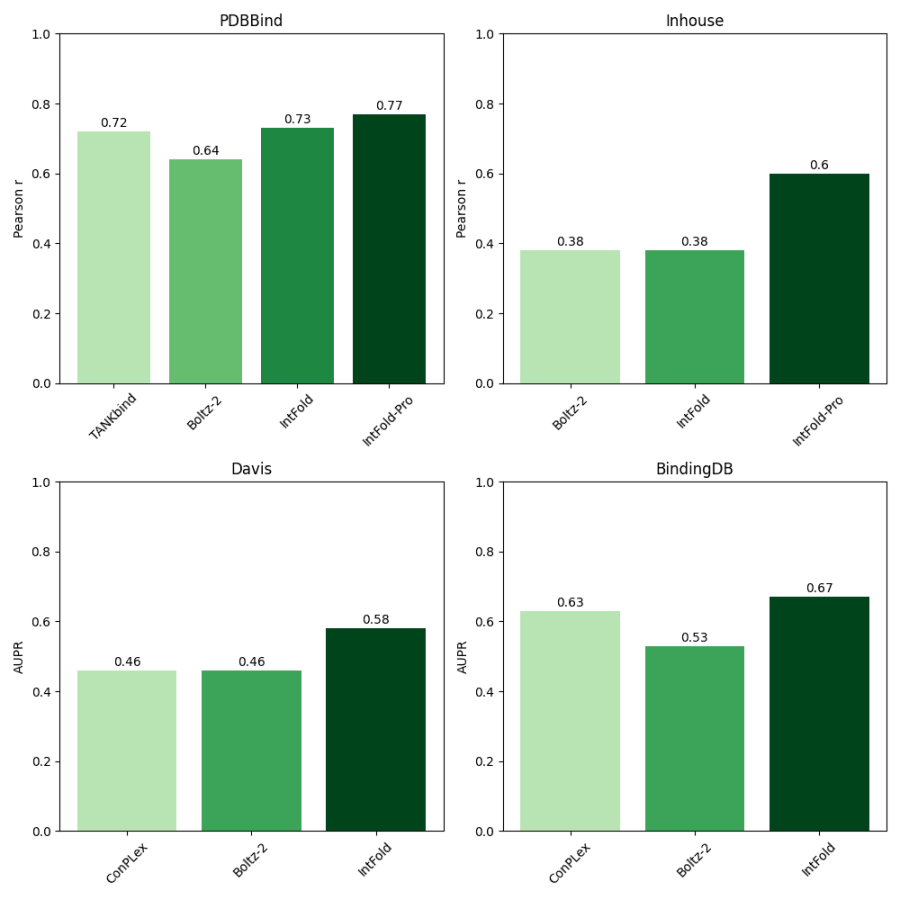
The core innovation of IntelliFold (the company's foundational model) lies in its generative artificial intelligence model for predicting the structure of three-dimensional biomolecules. Essentially, the startup has built a large-scale "foundational model" similar to DeepMind AlphaFold-3, but with broader capabilities applicable to drug development, such as affinity and allosteric site prediction. The IntelliFold model can predict the interactions of different biomolecules (proteins, DNA/RNA, small molecule drugs, ions, etc.) in three-dimensional space with high accuracy. According to the company's earlier publicly available technical reports, IntelliFold performed comparably to Google DeepMind's latest AlphaFold 3 in key protein structure benchmarks, while the latest professional version has comprehensively surpassed AF-3 on publicly available test datasets. This means that the model can not only calculate protein folding but also predict binding conformations and even estimate the binding affinity between proteins and potential drug molecules—a key metric for virtual screening.
A key highlight of the IntelliFold system is its controllability. By applying lightweight, trainable adapters, the base model can be guided to perform specific tasks. For example, it can focus on predicting allosteric conformational changes—the subtle shape changes that occur in a protein when a molecule binds to a distal site—without sacrificing accuracy in predicting the primary conformation. “Given a specific protein sequence, the IntelliFold model can predict its conformation and pattern of binding to small molecules,” explains Ronald Sun, president of the company, emphasizing that this crucial capability meets a clear market need in the drug discovery field. In addition to structural information, the model can also output binding affinity values, potentially improving the efficiency and accuracy of drug screening by several orders of magnitude. These advancements provide drug researchers with a powerful tool that enables them to design and evaluate new therapeutic molecules more efficiently than ever before.
The IntelliFold platform was developed in-house by the startup IntelliGenAI. Founded in late 2024 by two university classmates, the company benefited from the booming development of generative artificial intelligence (AI). IntelliFold President Ronald Sun, a former tech venture capitalist who had successfully invested in cutting-edge technology projects for years, decided to build his own project. Chief Scientist Siqi Sun, a researcher at Fudan University, worked for many years at Microsoft's Seattle headquarters research lab, focusing on advanced large-scale language models, and achieved a "SOTA" (state-of-the-art) designation in structural prediction at CASP12 (Critical Assessment of Structural Prediction, 2016). This large founding team possesses a rare combination of AI expertise and structural biology knowledge, enabling them to build a complex predictive model from scratch, rather than simply wrapping existing tools. Most team members have dual backgrounds in computational biology and deep learning, which Ronald notes was crucial for developing large-scale models for scientific research. Early versions of the IntelliFold server have been made available to collaborators and testers, demonstrating the technology's potential in real-world drug discovery projects.
IntelliFold’s approach exemplifies what Ronald Sun calls “generative science” — applying generative AI to scientific discovery in ways that fundamentally differ from the traditional research paradigm. For centuries, science has advanced through the painstaking process of formulating theories, deriving equations, and experimentally verifying each step . In drug development, for instance, researchers normally must identify a biological target, design a molecule, and iteratively test and tweak hypotheses in the lab. Generative AI offers a radically different path: instead of explicitly mapping out every molecular interaction with first-principles physics and chemistry, the AI model is trained on massive datasets of sequences, structures, and experimental results. It can then directly generate plausible solutions or predictions, even without a perfect human understanding of every mechanism .
According to Ronald, this data-driven generative method can yield outcomes that are “relatively accurate(compared with ground truths), but absolutely faster and broader” in scope compared to traditional techniques. In other words, a well-trained model might not explain why a particular protein folds or binds the way it does, but it can predict what will happen much more quickly and across vastly more possibilities than any lab could test manually, and is currently one of the most effective and leading approaches for tackling harder and more complex binding problems, such as so-called undruggable targets. The true dawn of this generative science approach was marked by DeepMind’s AlphaFold2, which in 2020 solved the decades-old problem of predicting protein 3D structures from amino acid sequences . AlphaFold3 (announced in 2024) extended that capability to model interactions between proteins and other molecules like nucleic acids, small compounds, and even antibodies — opening the door for AI to guide drug discovery in a meaningful way.
Now, startups like IntelliFold are pushing this trend further. “We’re seeing a potential shift in the first principles of scientific research,” Ronald says of the generative AI wave. “For the first time, it may be possible to expand human scientific knowledge ten times faster and broader, even without fully interpretable models for every step.” Ronald expects that harnessing AI in this way could boost research efficiency by at least an order of magnitude and allow scientists to explore options that were previously infeasible. In the pharmaceutical context, he notes, an GenAI-driven paradigm could drastically shorten the discovery cycle and reduce costs per new drug candidate. Success rates might improve “several-fold,” as advanced models uncover viable drug hits that human experts might overlook. By applying generative models directly to scientific exploration, IntelliFold hopes to turn what was once a slow, linear process into something more akin to rapid prototyping — testing countless virtual compounds and scenarios with unprecedented accuracy in silico with only the most promising ones moving to physical trials.
Alongside symbolic language intelligence and physical world intelligence, scientific intelligence that capture representations of natural laws and deep underlying regularities constitute the third top-level pillar of Artificial General Intelligence (AGI). Across a wide range of natural science domains — spanning the extremely concrete and the extremely abstract, the macroscopic and the microscopic — there exist objective structures that can be formalized, systematized, and ultimately operationalized as tools.
Historically, mathematical principles and empirical scientific experimentation were the primary means by which humanity explained natural forces and unlocked productivity, guiding sustained and transformative progress. However, since the advent of AlphaFold2 (AF-2), a new race toward state-of-the-art (SOTA) performance has emerged — one in which competition between models themselves has become the principal arena of intellectual rivalry.
The CASP competition, which had seen only incremental advances over several decades, entered a new phase at CASP12 in 2016 with the introduction of convolutional neural networks, and was ultimately brought to a decisive turning point at CASP14, where AlphaFold2 effectively solved the long-standing problem of single-protein structure prediction at near-experimental accuracy.
While years of progress in monomeric structure prediction — culminating in AF-2 — have been of profound scientific significance and provided industry with far superior starting points for downstream research, they remain insufficient for one of the most critical challenges in early-stage drug discovery: co-folding. In this domain, the industry has long lacked a solution that simultaneously offers reliable interaction awareness and high-throughput efficiency.
The formal release of AlphaFold3 in 2024, with its generative-AI-based capability for complex and composite structure prediction, marked a major inflection point in the industrial value of biological foundation models. Its breakthroughs in predicting structures of diverse molecular complexes — including antigen–antibody systems and protein–small-molecule interactions — opened a new chapter. Building on this capability, AlphaFold-related platforms secured multiple landmark partnerships with multinational pharmaceutical companies such as Novartis and Eli Lilly, involving upfront payments in the tens of millions of US dollars and total deal values ranging from USD 1–2 billion.
In parallel, replication efforts and exploratory improvements have rapidly followed. Yet due to the exceptionally high barrier to entry, requiring deep expertise in both large-scale generative models and structural biology, progress has been incremental rather than explosive. Recent benchmark studies — such as the newly published FoldBench benchmark — have revealed meaningful overall progress in this direction, while also highlighting that current SOTA methods still have considerable room for improvement on certain tasks.
Using biology as a representative example, it has become increasingly clear that how domain-specific scientific data and knowledge are tokenized and mapped into generative AI architectures is now the foundational and defining problem of Generative Science. Once domain science has been successfully tokenized and its feasibility validated, the next imperative is scaling — a process that demands iterative advances in model architecture and infrastructure.
Generative science is not simply about stacking more Transformer blocks. To build more powerful and effective models, researchers need a deep understanding of both domain-specific science and model architectures themselves, in order to find the right scaling directions. Otherwise, merely piling on more compute and data will still fail to achieve good results.
This process — scaling toward higher-capacity, higher-efficiency models, achieving stronger performance, integrating increasingly concrete problem settings and scenario-specific data, and forming a self-reinforcing dynamic flywheel of iteration — is rapidly emerging as the standard methodology of Generative Science.
At the same time, this methodology is expanding quickly beyond biology. Led by organizations such as DeepMind, innovators are actively applying the transformative potential of Transformers and generative-science principles to domains including, but not limited to, climate modeling, materials science, and nuclear fusion control.
Building upon architectural innovations and algorithmic evolution within GenAI frameworks, according to their update released in 2025 summer , IntelligenAI had delivered a series of results that are on par with, or in some cases surpass, AlphaFold3 and current industry SOTA:
2. By inserting LoRA adapters, the model achieves not only excellent performance in canonical (orthosteric) binding scenarios, but also exceptional capability in directed control tasks, including allosteric site targeting, pocket-guided folding, and epitope-guided folding.

3. One of the world’s first foundation models to achieve GenAI-based affinity prediction, demonstrating significantly superior SOTA performance across multiple datasets.

4. Among the validated and effective improvements currently under development (in internal testing, not yet publicly deployed), more than half stem from fundamental rethinking of model architecture and training paradigms, rather than from data scale alone — an approach expected to yield substantial performance gains in the next major release.
IntelliFold is launching its platform at a time of fierce global competition in AI-driven biotech. The potential to revolutionize drug discovery has attracted not only scientists but also tech giants and venture capital on a massive scale. In early 2024, for example, Alphabet’s DeepMind spun out Isomorphic Labs, which quickly inked partnership deals with pharma majors Lilly and Novartis to co-develop new therapies using AlphaFold’s AI capabilities . Those deals carried hefty upfront payments ($37.5–45 million each) — a strong validation that pharmaceutical companies see real value in generative models for drug design . Another startup in the field, Chai Discovery raised over $200 million with backing from notable AI figures (including OpenAI and Anthropic). And in the past year, a high-profile new venture involving leading scientists even secured a record $1.5 billion in initial funding — signaling the tremendous optimism around AI’s potential in life sciences.
Compared to the previous wave of AI-driven drug development in Greater China a few years ago, IntelliFold represents a new wave of biotechnology innovation, fully leveraging the region's emerging strengths in generative AI and drug discovery capabilities. The company's progress has attracted attention from domestic media, with observers noting that IntelliFold's success signifies "the enormous potential of generative AI engines in early-stage biomedicine." However, the company is not pursuing widespread publicity, but rather focusing on in-depth discussions with industry experts and professionals, concentrating on tangible scientific and commercial milestones. In the coming months, in addition to planning the launch of a new version of IntelliFold in early 2026, the company also plans to collaborate with major pharmaceutical companies and research institutions to validate and refine its AI models in real-world R&D projects. By contributing valuable early-stage drug candidates and continuously upgrading its IntelliFold platform, this startup aims to help improve the efficiency and success rate of drug development across the industry.
“We see tremendous opportunities in this field because it’s a high-value but extremely inefficient industry,” Ronald said. “If our generative AI approach can shorten the research and development cycle from ten years to a few years and increase the success rate from 10% to 20%, it will revolutionize the possibilities in biotechnology. This will be a victory for the new dimension of ‘natural philosophy principles’ demonstrated by generative intelligence. Undoubtedly, it will also greatly benefit mainstream science itself. Biology has already shown initial results, and other fields will soon follow suit, pushing it to its climax, ultimately composing a magnificent symphony of generative science—a perfect fusion of AI and biotechnology.” While the full realization of these goals will take time, the direction of development has been set. With its perfect fusion of AI technology and scientific insight, IntelliFold is ambitiously committed to reversing the “double ten dilemma,” potentially ushering in a new era of drug development, making drug design more like designing computer chips, with breakthroughs driven by machines rather than human labor. The race for a revolutionary drug development has begun, and IntelliFold, as one of the emerging competitors, is betting that generative AI can bring about the qualitative leap that researchers and patients have been eagerly awaiting.
【免责声明】市场有风险,投资需谨慎。本文不构成投资建议,用户应考虑本文中的任何意见、观点或结论是否符合其特定状况。据此投资,责任自负。
