摘要:随着区块链技术的发展,加密货币被 IFRIC 定义为无形资产,加密资产的价值估定问题亟待解决,下面本文就会计学和经济学在研究加密货币价值的核算与计量方面做出阐释。
关键词:加密货币,价值,会计学,基本面
Abstract: With the development of blockchain technology, cryptocurrencies are defined as intangible assets by IFRIC, and the problem of valuation of crypto assets needs to be solved urgently. The following paper explains the accounting and economics in studying the accounting and measurement of cryptocurrency value.
Keywords: cryptocurrency, value, accounting, fundamentals
去中心化——即不由任何中央银行或类似机构发行;
它们记录在分布式账本上——这意味着该货币的所有交易都记录在一个称为“区块链”的大账本中,每个参与者都有自己的该账本副本;
该密码用于确保安全,防止欺诈行为并验证交易的正确性,每个有效的交易进行某种数字签名。
在 IAS32(《国际会计准则第 32 号》)中,货币被定义为金融资产[1],因为:它代表交换媒介;它是所有交易在财务报表中计量和确认的基础;和银行存款代表存款人从机构取得现金的合同权利等。然而加密货币不完全符合以上几点,它可以用来交换特定的商品或服务,但并未被广泛接受。它不用作商品或服务定价的货币单位——定价通常以“正常”货币进行,然后加密货币的定价来自常规货币。由于其高波动性,加密货币的价值储存能力较差。但最重要的是:加密货币没有任何合同。金融工具的基本定义是产生一个实体的金融资产和另一个实体的金融负债或权益工具的合同(见 IAS 32)。换句话说,加密货币的持有者没有任何接收现金或其他金融资产的合同权利,因为没有合同,也没有交易对手。因此,加密货币不是金融工具。
当然,随着以太坊链上智能合约(Smart Contract)的发展,智能合约可能成为一种新的金融工具。
充当加密货币的经纪交易商应该应用 IAS 2,更具体地说是针对商品经纪商和交易商的 IAS 2.3b。商品经纪人和交易员以公允价值减去销售成本来衡量他们的库存(加密货币)。
如果持有者购买加密货币是为了长期持有和储存价值或用于其他目的,则需要应用标准 IAS 38 无形资产。
在此考虑加密货币适用于何种模型。
成本模型:在这里,需要以成本减去累计摊销(几乎为零)减去减值来计算加密货币的持有。当加密货币的公允价值下降时,需要考虑减值。
然后还有另一个问题:如果加密货币的公允价值增加超过您的成本,您将永远不会在成本模型下认识到这种增加。因此,如果出于资本增值的目的以持有,则不能客观计算其价值。
重估模型:如果存在活跃市场,则可以将加密货币重估为其公允价值,并直接计入其他综合收益的任何增加,或损益的减少。
这不是很对称,但如果为了资本增值而持有加密货币,它可能比成本模型更合适。
需要进行适当的披露,主要是关于设定公允价值、使用的任何判断等。
在区块链网络中,矿工负责:验证交易并创建新的交易块和更新分布式账本以包含新验证的交易。矿工获得两种类型的奖励:区块奖励(因创建区块而获得),和交易费用(为验证特定交易而赚取的费用)。
矿工正在为网络提供一些服务,然而因为矿工获得的奖励由算法生成,没有特定的客户和合约,所以我们不能应用收入标准 IFRS 15 来核算大宗奖励。当矿工获得区块奖励时,它肯定代表了经济利益的流入——因此它符合概念框架中规定的收入定义。
结论:在收到区块奖励时将其计入损益,以公允价值计量。由于挖矿中包含“运气因素”,故无法真正将特定费用归因于特定收入。因此,矿工应将“挖矿”所产生的费用计入损益。为个人矿工描述的会计原则对于矿池是相同的。唯一的区别是他们可能会创建一些合营安排,并且还需要应用 IFRS 11。
条目是:
借 无形资产——加密货币
贷 损益中的其他收入(电费和矿机、管理、场地成本)
下文将使用不同的模型和指标,由简到繁地对加密货币的价值进行分析和预测。
现金余额学说认为:为使支付的数量发生效力,需要一定比例的货币。
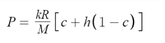
在加密货币领域,其中:P 代表币价,R 代表以加密货币结算之货物量,M 代表加密货币的现有发行量,k 代表用于结算的加密货币占总发行量的比例。
其中 P 代表加密货币的价格,k 代表活跃地址持币量占总量的比例,R 是链上交易总额,M 是该种加密货币的现有发行量,c 代表个人持币量,h 代表各大交易所(机构)囤币量。
根据现金余额学说,我们给出了计算加密货币的价值的方法,这种理论的根据是加密货币的货币属性,然而,加密货币还具有大宗商品的属性,因此应该综合考量,下面将论述加密货币市场中基本面分析的技术指标。
市价比率通常被视为加密货币市场的本益比。它尝试根据处理的交易价值来给定网络的价值。
一般来说,市价比率较低的资产被认为是价值低估,而比率较高的资产被认为是价值高估。
活跃地址的数量可以用来衡量地址的实际数量,用来表示有关网络活动的信息。
它评估了基于工作量证明 (Proof of Work) 的加密货币的价值,这一指标揭示了区块链网络的当前状态,如果矿工挖矿的收益不足以支付电力成本,即币价低于关机币价,则说明该币的价值较低,矿工的流失将威胁去中心化网络的安全。
由于奖励措施的因素,该比率的极限将趋于 1,该指标的有效性有待进一步的验证,但无疑大部分显卡矿工在计算回本周期时或多或少使用了这个指标。随着半导体制程的进一步减小,在新的矿机发布时,即在全网算力几乎不变的情况下,挖矿的电力成本将会降低。
白皮书中会写出项目的目标、案例和技术,对团队成员的了解可以知道他们的能力,路线图将会告知你项目是否按计划进行,通过研究,我们可以判断该项目的潜力和价值所在。
所谓剩余收益是指投资的净利润减去投资者预期的回报。此理论认为投资者只有获得了超过委托投资人或自己预期要求回报的净利润,剩余收益才算为正;若只获相当预期要求的回报的利润,仅为实现正常收益。
剩余收益模型使用加密资产的账面价值和预期剩余收益的现值来表示加密货币的固有价值。如果考虑到法币时间价值和投资者要求的风险报酬,把投资者预期剩余收益按一定贴现率贴现后加当期权益价值即为加密货币的内在价值。
可用公式表示:
即为 RIt+ 1 = NIt+ 1 − rBVt,在公式中 RIt+ 1 表示 t+1 期剩余收益,NIt+ 1 代表 t+1 期的投资净收益,BVt 是 t 期加密资产的账面价值,r 是交易者需求的必要回报率,ROE 是净资产回报率。剩余收益应该进行资本成本的调整来反映会计上未加确认但事实存在的权益资本的机会成本。
此模型可表示为:
在这些投资组合中,r 为预期收益率,Rf 为市场无风险收益率,Rm 为市场组合收益率,三个变量的待估系数β3 为市场组合风险溢价、规模溢价、市净率溢价三个因子的变动对预期收益率的影响,市场组合风险溢价系数β的概念与资本资产定价模型中的β系数相似,市值规模变量 SMB 是指由市值小的币种组成的投资组合回报与市值大的币种组成的投资组合回报的差额,NVT 溢价 HML 是 NVT 比较高的币种组成的投资组合回报与较低的币种组成的投资组合回报之间的差额。α为超额收益率,理论上投资组合的超额收益将由三个因素全部解释,从而α应在统计学意义上等于 0.这些系数可以通过线性回归的方法计算。
Beta 系数是用以衡量一种加密货币或一个加密货币组合相对总体市场的波动性的一种加密货币系统性风险的评估工具。
公式为:
其中,Cov(ra,rm) 是币种 a 的收益与市场收益的协方差,σ2m 是市场收益的方差。贝塔系数利用回归的方法计算:若其绝对值高于 1,则表明该币种比市场平均波动为大,等于 1 则随市场一同波动,小于 1 则表明该币种比市场平均波动为小。
β值用于衡量该币种的系统性风险,计算方式是用过去 12 个月或者 24 个月该币种的月回报率对同期市场月回报率做回归分析,从而估算出其斜率系数。
在现代金融市场价格理论中,资本资产定价模型被广泛应用于投资决策领域。
CAPM 主张,投资组合的回报只跟系统性风险有关。使用 CAPM 时,投资组合应为已分散的,即包含一篮子的加密货币,以消除个别加密货币的非系统性风险。
按照资本资产定价模型,对于某一特定资产,其预期回报率与市场投资组合预期回报率之间的关系可以用如下的形式表示:
在此公式中,E(ri) 是资产 i 的期望报酬率,rf 是无风险报酬率(在加密货币交易中,通常用美元稳定币之间的流动性挖矿的收益率来近似替代),β是上文所说的 beta 系数,E(rm) 为市场投资组合 m 的预期回报率,通常用加密货币价格指数报酬率的平均值或所有加密货币的平均报酬率来代替。[E(rm)-rf]是市场风险溢价,即市场投资组合的期望报酬率与无风险报酬率之差。
ARCH 模型解决了方差恒定假设在传统计量经济学中的应用中引起的问题。传统的时间序列分析对实际问题并不有效。
以ε表示收益或收益残差,假设εt=σtzt,此处 zt 服从独立同分布,即均符合期望为 0,方差为 1 的正态分布,在这里序列σ2t 被建模为
其中,[](https://imgtu.com/i/W5mfIO)
,即各期收益是非负数的线性组合,而常数项为正。
若用 ARMA 模型来表示方差,则 GARCH 模型是 ARCH 模型的改进。
含有 p 和 q 参数的模型是
本文基于 2019 年 6 月 IFRIC 作出的最终议程决议[4],分析了加密货币的会计处理,并指出了其披露要求。并从基本面分析的角度,分析了加密货币的内在价值。由于加密货币具有多种属性,因此需要运用不同的模型进行回归分析。
委员会得出结论认为,若当加密货币是在正常业务过程中持有以备出售的,则适用《国际会计准则第 2 号——存货》。否则主体可对持有加密货币适用《国际会计准则第 38 号》。加密货币需按所适用准则进行披露。具体披露要求可能涉及存货准则、无形资产准则、公允价值计量准则、财务报表列报准则,以及报告期后事项准则等。
基本面的分析依赖久经考验的技术和随时可得的业务数据,然而由于加密资产的高度相关性,基本面分析可能有时会失效。有时我们会忽略技术分析擅长的强大市场力量和趋势判断,因此,被低估的资产并不保证将来会升值。
[1] 吴金旺,顾洲一,申睿.比特币价格波动实证分析及对主权数字货币的启示[J].浙江金融,2020(09):14-24.
[2] Slivia.How to Account for Cryptocurrencies in line with IFRS https://www.cpdbox.com/accounting-cryptocurrencies-ifrs
[3](英)特里·J.沃特沙姆,基思·帕拉莫尔.陈工孟,陈守东译.金融数量方法.上海人民出版社,2004 年 05 月.
[4] IFRS.Holdings of Cryptocurrencies https://www.ifrs.org/projects/completed-projects/2019/holdings-of-cryptocurrencies/
【免责声明】市场有风险,投资需谨慎。本文不构成投资建议,用户应考虑本文中的任何意见、观点或结论是否符合其特定状况。据此投资,责任自负。
