人生五十年,与天地长久相较,如梦又似幻;放眼天下,海天之内,岂有长生不灭者?——织田信长
近日,秋雨淅沥,秋风凛冽,境遇若欧阳修之言:“盖夫秋之为状也:其色惨淡,烟霏云敛;其容清明,天高日晶;其气栗冽,砭人肌骨;其意萧条,山川寂寥。故其为声也,凄凄切切,呼号愤发。丰草绿缛而争茂,佳木葱茏而可悦;草拂之而色变,木遭之而叶脱。”
有幸与老友相聚,相论甚欢,以其言不惟阻遏余短期之颓势,亦有长线之谕示,故撰此文以录之,一探预言之艺术。
本人对于自我未来的预言,大抵分为三个方面,这些固有印象近乎是确定了的,然而友人之话语使我反思,下面将简单阐述此三方面的预言。
这一方面的预言比较乐观,因为处于一个新兴的市场中并且通过历次的探究,已经存在各种数学方法能够较为准确地预测市场的趋势,以下将简述三种探知市场趋势、降低全盘风险的技术方法。
暑假开始时,与理学院之教授座谈预测金融市场之方法。事情的开始在于他介绍了他的导师的合作者——迪迪埃·索内特,此人为瑞士苏黎世联邦理工学院教授,使用了数理分析统计方法,完成了对地震和地质断层、社会集体行为、逻辑斯蒂方程的应用、金融泡沫、人类合作、社会泡沫理论、量子决策理论等的研究和预判。其中,对数周期幂律金融泡沫奇异性(LPPLS)模型可以应用于投资领域的研判。
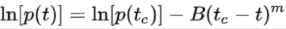
LPPLS 模型对泡沫的主要诊断方法是判定由加速震荡所装饰的资产价格的快于指数的增长为泡沫。它体现了更高回报预期的正反馈循环与崩溃预期的负反馈螺旋竞争的效果。公式如下:
公式中:ln[p(t)]是 *t* 时刻价格的对数,0 < m < 1, B > 0 和 *t*c 是决定泡沫何时终结的关键参数。
金融危机监测站是一个科学平台,自 2014 年以来每个月发布一次全球泡沫状况报告,内有对全球各种主流资产泡沫的评测。其中,2021 年 9 月的报告,成功预测了 2021 年 9 月 7 日加密货币市场闪崩事件。
图 1 比特币与美元价格交易对存在置信度为约 37% 的短期泡沫指标
预言机是一种抽象电脑,具备图灵机的一切功能,并有一项额外的能力:可以不通过计算直接得到某些问题的答案。它能实现智能合约和链外信息的互通互联。因此多个可信预言机的数据聚合即可形成可靠的数据源。
预言机的应用场景主要有五个方面。
其一为去中心化衍生品,预言机可以通过提供价格馈送,结算价值和合约到期来确定参与者的损益。
其二为稳定币,预言机可以获取稳定币和它们所固定的资产的汇率的外部数据。
其三为去中心化预测市场,可以获取如总统选举和体育赛事结果。
其四为智能合约保险,可以获取航班延误或作物生长状况。
其五为去中心化贷款平台,可以在创建贷款时引入市场利率并监控抵押资产是否足额。
肇因于低利率及量化宽松的金融环境,加密货币市场迎来疯涨的牛市周期。不过随着景气复苏,货币政策紧缩已成定局,也就是说,牛市或许已经走到中后期,市场风险也越来越高。下面将介绍杠铃策略提升资产的反脆弱性。
杠铃策略是指将资金配置于极端保守和极端冒险的领域,避开中间地带,以保守的强固特性对抗黑天鹅风险,在极端冒险的配置上获取收益。此种策略有些类似期权,即无风险套利的部分不会亏损,而最大损失将是你配置于超高风险市场的资金或权利金。
永续合约(Perpetual Swap)没有交割日期,而资金费率就是平衡多空的机制。
永续合约价格高于现货时,资金费率为正,多头持仓者每小时需支付费用给空头持仓者。这个套利机制会鼓励多头平仓,或是吸引套利者。套利者可在市场购买现货,再以一倍杠杆做空,多空平衡下,套利者就可以每小时领取资金费率。此方法可用于无风险套利。另一种近似无风险套利的方法是中心化交易所借贷或 DeFi 流动性挖矿。
在投资上,只要杠铃策略运用得宜,便可以创造稳定性更高的投资组合,同时保有主动积极的凸性效应。因为全仓的策略虽然可能收益更高,但是需要你对投资的标的有坚定的信仰,以及绝不抛售的信念和承担更高的回撤。这些技术方法是有效的,但是光拥有它们并不能让你做出最正确的选择,只投资自己能看懂的标的会使你拿的住你的资产。
这一方面的预言既不乐观,也不悲观。由于在学业中,很多内容可以机械地堆时间来完成。巴菲特 1998 年在佛罗里达商学院的演讲中这两个问题的答案基本可以概括在学业方面以及更广的范围成功的关键。如果你可以选一个靠自己奋斗的同学,买入他今后一生之内 10% 的收入,你会选择谁?假如为了拥有这位同学今后一生 10% 的收入,你还要同时做空另一位同学今后一生 10% 的收入,你会做空谁?
对未来估值有利的品质是能获得认同感、有领导力、慷慨大方、诚实正直,对未来估值不利的品质则是自私自利、贪得无厌、投机取巧和弄虚作假。对于一门需要长期修行的技术,熟能生巧是必要的,大多数行为都是习惯成自然。常言道,习惯的枷锁,开始的时候轻的难以察觉,到后来却重的无法摆脱。虽有心克己不放纵,亦无强心以驱动,故将濒临绝境。
因此,不能忽视累积的时间效应,功到自然成在这一领域是适用的。
多情应笑我,早使心死。这一方面的预言之前总体是悲观的。在投资领域,我至少能找到数十种数学模型来辅助我的判断、佐证我的观点。在学习领域,也可以近似线性地量化我投入的时间。但在这个领域,我不得不承认:我唯一知道的,就是我什么都不知道。混沌的系统是不可预测的,同时,这一领域,也会出现所有广义上的投资者的噩梦,投入遭遇 100% 的损失且不可挽回,类似于黑客盗币或交易所跑路这种事件,而这种结果是与你努力与否完全无关的。
虽然这个领域看上去完全不可预测,但今天的主题是论预言之艺术,那么还是有迹可循的。在完全不理性的模型中,可以引入随机量来模拟行为,而理性的市场找不到理性选择的平衡点,因此反而不能预测。
本人 8 月 19 日有幸访问一家初创公司,其中 CTO 的说法令我记忆犹新,他认为他的项目将会部署在 SOL 链上,而不是更为成熟的 ETH 链,因为他认为他们会刻意选择最新的技术来进行创新。我有时确实会怀疑人生,对自我的估计有恐惧和不确定性。常言:人有时候吧,没得选。大部分的人,这一辈子都是庸庸碌碌的配角。我们没有颜值,没有钱,没有才华,甚至没什么朋友,也收获不了什么甜蜜的爱情。然而至少还有试错的机会,这一点是之后的人生无法比拟的,即不确定性带来的无穷可能。
友人由于经历了较常人多一年的磨砺,对事件的看法也愈加通透。他把这个层次的人分为两类,一类更像美股,具有较好的市盈率和较高的估值以及更低的波动率和较高的下限,另一类更像加密货币,现如今估值较低,潜力和波动性非常大,上限很高,下限很低,最终的结果取决于能否不在波动之中迷失自我,度过人生之劫。由于其价值基本由共识支撑,在无实物背书的情形下波动更大,这是一个特点,而算不上优缺点。同时他人也能从我的投资组合中逆推我本人的性格。
之后的讨论再就是关于感情中的投入受损失的,他认为诚然在错过之后追寻的人或多或少带有昔日之人的影子,但在自我的估值处于上升期,随着年岁渐增,遇到的人会总的来说与人生之后的目标更为契合,总评也会更高。细想此事,确实能得到一定的验证。我们失败的只是局部最优,而非全局最优。所以关键是保证能力范围是增长的,如同成长过程中自由度的提升一样,我们会有更好的最优解。
此文主要探讨的是对自我价值之预言,为此系列的第一篇,下一篇将探讨自我估值的稳定,即共识的维护。非学无以广才,非志无以成学。潜力需要正确的方法来释放,如果就超指数增长模型来看,必有一段时期是瓶颈期,即几乎什么都获得不了的时期。我选择了自组织的自下而上的路线,固然需要经历影响力和共识的瓶颈,但无论如何,我走得很慢,但绝不倒退。匀速就已经够了。
【免责声明】市场有风险,投资需谨慎。本文不构成投资建议,用户应考虑本文中的任何意见、观点或结论是否符合其特定状况。据此投资,责任自负。
